colorado chain law diagram
Discover all the collections by Givenchy for women men kids and browse the maisons history and heritage. All our clients are privileged to have all their academic papers written from scratch.
Amazon S Internal Records Show Its Worker Safety Deception
All our academic papers are written from scratch.
. These papers are also written according to your lecturers instructions and thus minimizing any chances of plagiarism.
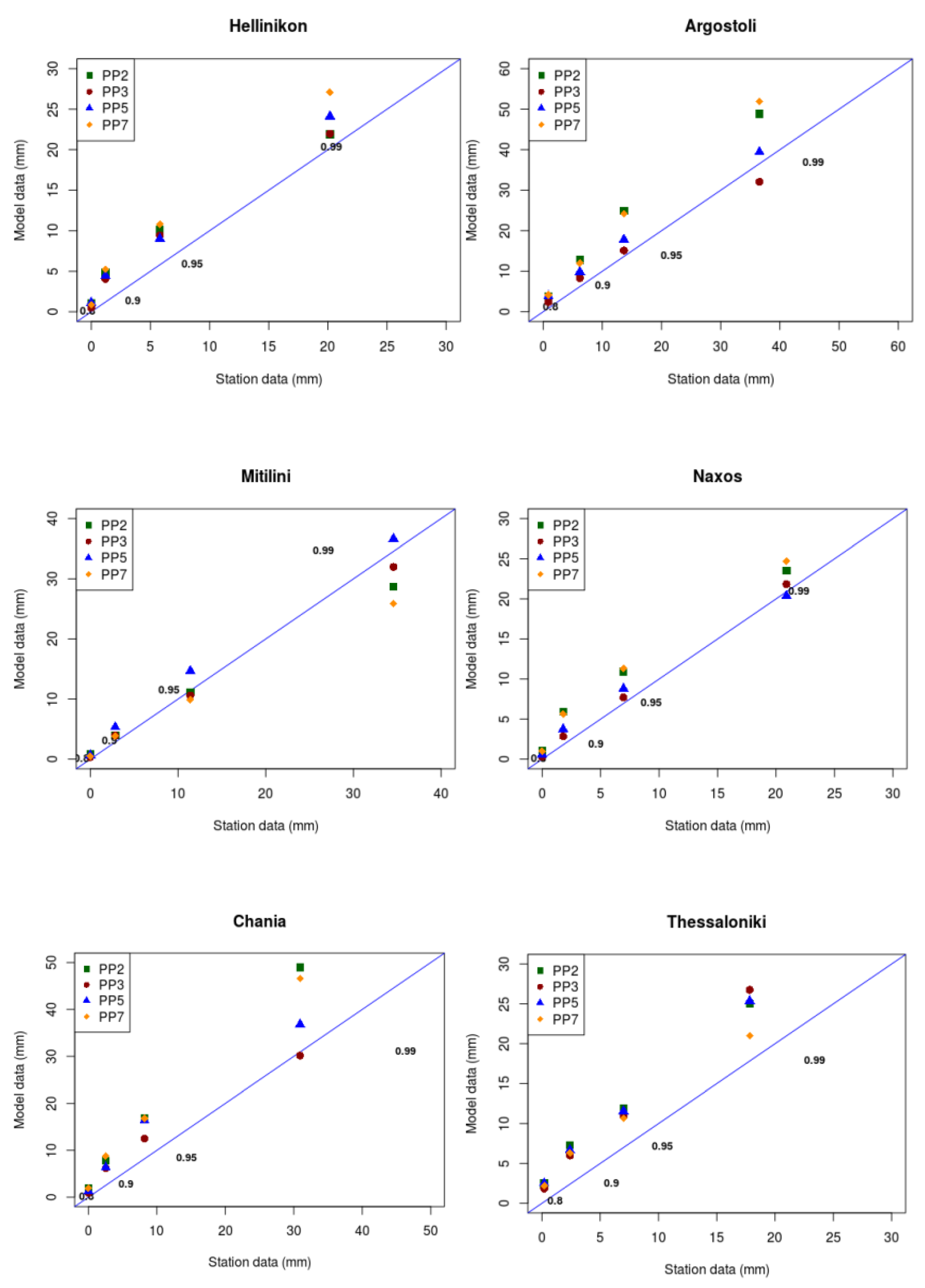
Climate Free Full Text A Sensitivity Study Of High Resolution Climate Simulations For Greece Html
Ny Gov Will Sign Complete Streets Law Transportation Nation Wnyc Aerial Photography Drone Arch Architecture Street
Energies Free Full Text Reservoir Pore Characteristics Based On Depositional Microfacies Control In The Neogene Guantao Formation Bohai Bay Basin China Html
Chaining A Simple Course A Necessity In Winter Common Sense Is And Always Has Been Dependent Upon A Certain Level Of Knowledge Combined With Intelligence I Don T Know If The Intelligence Levels Are Actually Declining But The Knowledge
Colorado Chain Law Is Now In Effect Here S What You Need To Know
Astronomy Bachelor Of Arts Ba University Of Colorado Boulder
Targeted Intracellular Delivery Of Trastuzumab Using Designer Phage Lambda Nanoparticles Alters Cellular Programs In Human Breast Cancer Cells Acs Nano
Pin On Diagrams Graphs And Maps
Weekly Family Update Mason City Schools
Colorado S Chain Law Colorado Department Of Transportation
Skywatch A Prime Time Bloody Moon Tonight Twin Cities
Chaining A Simple Course A Necessity In Winter Common Sense Is And Always Has Been Dependent Upon A Certain Level Of Knowledge Combined With Intelligence I Don T Know If The Intelligence Levels Are Actually Declining But The Knowledge
Proposed Cdot Chain Up Bypass Lane Town Of Blue River
Swimlane Diagram A Q A Process Flow Starts From A User Entering A Download Scientific Diagram
Pin By Mechelle Sizemore On Bss Microlifeindia Cbse Primary Level Organic Chemistry Chemistry Biology Lessons
Colorado State Patrol Still Confused On Chain Law No Worries Take A Look Below And Be Prepared Facebook
